Nov 07, 2024
Lab 05 due TODAY 11:59pm
Monday, November 11: Project presentations
Looking ahead
Logistic regression for binary response variable
Use logistic regression model to calculate predicted odds and probabilities
Interpret the coefficients of a logistic regression model with
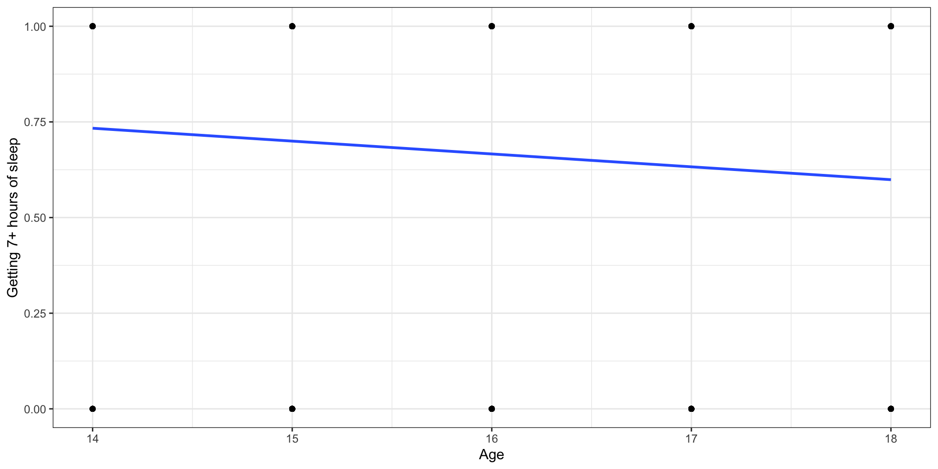
Students in grades 9 - 12 surveyed about health risk behaviors including whether they usually get 7 or more hours of sleep.
Sleep7
1: yes
0: no
# A tibble: 446 × 6
Age Sleep7 Sleep SmokeLife SmokeDaily MarijuaEver
<int> <int> <fct> <fct> <fct> <int>
1 16 1 8 hours Yes Yes 1
2 17 0 5 hours Yes Yes 1
3 18 0 5 hours Yes Yes 1
4 17 1 7 hours Yes No 1
5 15 0 4 or less hours No No 0
6 17 0 6 hours No No 0
7 17 1 7 hours No No 0
8 16 1 8 hours Yes No 0
9 16 1 8 hours No No 0
10 18 0 4 or less hours Yes Yes 1
# ℹ 436 more rows
Outcome:
Outcome: Probability of getting 7+ hours of sleep
Outcome: Probability of getting 7+ hours of sleep
🛑 This model produces predictions outside of 0 and 1.
✅ This model (called a logistic regression model) only produces predictions between 0 and 1.
We call this function relating the probability to the predictors a sigmoid function,
Logit form:
Probability form:
Logit and sigmoid link functions are inverses of each other.
Note
More on link functions later, if time permits
We want to use our data to estimate
In this modeling scheme, one typically finds
Linear regression:
Quantitative outcome
Estimate
Use
Logistic regression:
Binary outcome
Estimate
Use
The likelihood function for
We will use the log-likelihood function to find the MLEs
The log-likelihood function for
Plugging in
This data set is from an ongoing cardiovascular study on residents of the town of Framingham, Massachusetts. We want to examine the relationship between various health characteristics and the risk of having heart disease.
high_risk: 1 = High risk of having heart disease in next 10 years, 0 = Not high risk of having heart disease in next 10 years
age: Age at exam time (in years)
education: 1 = Some High School, 2 = High School or GED, 3 = Some College or Vocational School, 4 = College
heart_disease# A tibble: 4,135 × 3
age education high_risk
<dbl> <fct> <fct>
1 39 4 0
2 46 2 0
3 48 1 0
4 61 3 1
5 46 3 0
6 43 2 0
7 63 1 1
8 45 2 0
9 52 1 0
10 43 1 0
# ℹ 4,125 more rows
| term | estimate | std.error | statistic | p.value |
|---|---|---|---|---|
| (Intercept) | -5.385 | 0.308 | -17.507 | 0.000 |
| age | 0.073 | 0.005 | 13.385 | 0.000 |
| education2 | -0.242 | 0.112 | -2.162 | 0.031 |
| education3 | -0.235 | 0.134 | -1.761 | 0.078 |
| education4 | -0.020 | 0.148 | -0.136 | 0.892 |
| term | estimate | std.error | statistic | p.value |
|---|---|---|---|---|
| (Intercept) | -5.385 | 0.308 | -17.507 | 0.000 |
| age | 0.073 | 0.005 | 13.385 | 0.000 |
| education2 | -0.242 | 0.112 | -2.162 | 0.031 |
| education3 | -0.235 | 0.134 | -1.761 | 0.078 |
| education4 | -0.020 | 0.148 | -0.136 | 0.892 |
education4: The log-odds of being high risk for heart disease are expected to be 0.020 less for those with a college degree compared to those with some high school, holding age constant.
Warning
We would not use the interpretation in terms of log-odds in practice.
| term | estimate | std.error | statistic | p.value |
|---|---|---|---|---|
| (Intercept) | -5.385 | 0.308 | -17.507 | 0.000 |
| age | 0.073 | 0.005 | 13.385 | 0.000 |
| education2 | -0.242 | 0.112 | -2.162 | 0.031 |
| education3 | -0.235 | 0.134 | -1.761 | 0.078 |
| education4 | -0.020 | 0.148 | -0.136 | 0.892 |
age: For each additional year in age, the log-odds of being high risk for heart disease are expected to increase by 0.073, holding education level constant.
Warning
We would not use the interpretation in terms of log-odds in practice.
| term | estimate | std.error | statistic | p.value |
|---|---|---|---|---|
| (Intercept) | -5.385 | 0.308 | -17.507 | 0.000 |
| age | 0.073 | 0.005 | 13.385 | 0.000 |
| education2 | -0.242 | 0.112 | -2.162 | 0.031 |
| education3 | -0.235 | 0.134 | -1.761 | 0.078 |
| education4 | -0.020 | 0.148 | -0.136 | 0.892 |
education4: The odds of being high risk for heart disease for those with a college degree are expected to be 0.98 (exp{-0.020}) times the odds for those with some high school, holding age constant.
Note
In logistic regression with 2+ predictors,
| term | estimate | std.error | statistic | p.value |
|---|---|---|---|---|
| (Intercept) | -5.385 | 0.308 | -17.507 | 0.000 |
| age | 0.073 | 0.005 | 13.385 | 0.000 |
| education2 | -0.242 | 0.112 | -2.162 | 0.031 |
| education3 | -0.235 | 0.134 | -1.761 | 0.078 |
| education4 | -0.020 | 0.148 | -0.136 | 0.892 |
age: For each additional year in age, the odds being high risk for heart disease are expected to multiply by a factor of 1.08 (exp(0.073)), holding education level constant.
Alternate interpretation: For each additional year in age, the odds of being high risk for heart disease are expected to increase by 8%.
Note
In logistic regression with 2+ predictors,
Linear model
GLM
Note
We call
Linear regression
Logistic regression
Probit model
heart_disease_aug =
augment(heart_edu_age_fit)
heart_disease_aug|> select(.fitted, .resid)|>
head(6)# A tibble: 6 × 2
.fitted .resid
<dbl> <dbl>
1 -2.55 -0.388
2 -2.26 -0.446
3 -1.87 -0.536
4 -1.15 1.69
5 -2.25 -0.448
6 -2.48 -0.402
For observation 1
heart_disease_aug$predicted_prob <-
predict.glm(heart_edu_age_fit, heart_disease, type = "response")
heart_disease_aug|>
select(.fitted,predicted_prob) |>
head(6)# A tibble: 6 × 2
.fitted predicted_prob
<dbl> <dbl>
1 -2.55 0.0726
2 -2.26 0.0948
3 -1.87 0.134
4 -1.15 0.240
5 -2.25 0.0954
6 -2.48 0.0775
For observation 1
# Convert probabilities to binary predictions (0 or 1)
heart_disease_aug <- heart_disease_aug |>
mutate(predicted_class = ifelse(predicted_prob > 0.5, 1, 0))
heart_disease_aug |>
select(predicted_prob, predicted_class) # A tibble: 4,135 × 2
predicted_prob predicted_class
<dbl> <dbl>
1 0.0726 0
2 0.0948 0
3 0.134 0
4 0.240 0
5 0.0954 0
6 0.0775 0
7 0.317 0
8 0.0887 0
9 0.172 0
10 0.0967 0
# ℹ 4,125 more rows
What does the following table show?
# A tibble: 2 × 3
high_risk predicted_class n
<fct> <dbl> <int>
1 0 0 3507
2 1 0 628
The predicted_class is the class with the probability of occurring higher than 0.5. What is a limitation to using this method to determine the predicted class?
Reviewed the relationship between odds and probabilities
Introduced logistic regression for binary response variable
Interpreted the coefficients of a logistic regression model with multiple predictors
Introduced generalized linear model
