Nov 12, 2024
Project: Draft report due + peer review in December 2 lab
Statistics experience due Tuesday, November 26
HW 04 released on Thursday
Calculating predicted probabilities from the logistic regression model
Using predicted probabilities to classify observations
Make decisions and assess model performance using
This data set is from an ongoing cardiovascular study on residents of the town of Framingham, Massachusetts. We want to examine the relationship between various health characteristics and the risk of having heart disease.
high_risk: 1 = High risk of having heart disease in next 10 years, 0 = Not high risk of having heart disease in next 10 years
age: Age at exam time (in years)
totChol: Total cholesterol (in mg/dL)
currentSmoker: 0 = nonsmoker; 1 = smoker
| term | estimate | std.error | statistic | p.value | conf.low | conf.high |
|---|---|---|---|---|---|---|
| (Intercept) | -6.638 | 0.372 | -17.860 | 0.000 | -7.374 | -5.917 |
| age | 0.082 | 0.006 | 14.430 | 0.000 | 0.071 | 0.093 |
| totChol | 0.002 | 0.001 | 2.001 | 0.045 | 0.000 | 0.004 |
| currentSmoker1 | 0.457 | 0.092 | 4.951 | 0.000 | 0.277 | 0.639 |
We are often interested in using the model to classify observations, i.e., predict whether a given observation will have a 1 or 0 response
For each observation
# A tibble: 4,190 × 10
high_risk age totChol currentSmoker .fitted .resid .hat .sigma .cooksd
<fct> <dbl> <dbl> <fct> <dbl> <dbl> <dbl> <dbl> <dbl>
1 0 39 195 0 -3.06 -0.302 0.000594 0.890 6.94e-6
2 0 46 250 0 -2.38 -0.420 0.000543 0.890 1.25e-5
3 0 48 245 1 -1.77 -0.560 0.000527 0.890 2.24e-5
4 1 61 225 1 -0.751 1.51 0.00164 0.889 8.70e-4
5 0 46 285 1 -1.86 -0.539 0.000830 0.890 3.25e-5
6 0 43 228 0 -2.67 -0.366 0.000546 0.890 9.43e-6
7 1 63 205 0 -1.08 1.66 0.00154 0.889 1.15e-3
8 0 45 313 1 -1.88 -0.532 0.00127 0.890 4.86e-5
9 0 52 260 0 -1.87 -0.535 0.000542 0.890 2.08e-5
10 0 43 225 1 -2.22 -0.454 0.000532 0.890 1.44e-5
# ℹ 4,180 more rows
# ℹ 1 more variable: .std.resid <dbl>
# A tibble: 5 × 1
.fitted
<dbl>
1 -3.06
2 -2.38
3 -1.77
4 -0.751
5 -1.86
Observation 1
# A tibble: 5 × 1
.fitted
<dbl>
1 -3.06
2 -2.38
3 -1.77
4 -0.751
5 -1.86
Observation 1
# A tibble: 5 × 1
.fitted
<dbl>
1 -3.06
2 -2.38
3 -1.77
4 -0.751
5 -1.86
Observation 1
Would you classify this individual as high risk
# A tibble: 5 × 1
.fitted
<dbl>
1 -3.06
2 -2.38
3 -1.77
4 -0.751
5 -1.86
Observation 4
Would you classify this individual as high risk
We can calculate predicted probabilities using the predict.glm() function. Use type = "response" to get probabilities.1
Predicted probabilities for Observations 1 -5
1 2 3 4 5
0.04459439 0.08445209 0.14523257 0.32065849 0.13515474
# A tibble: 5 × 3
high_risk .fitted pred_prob
<fct> <dbl> <dbl>
1 0 -3.06 0.0446
2 0 -2.38 0.0845
3 0 -1.77 0.145
4 1 -0.751 0.321
5 0 -1.86 0.135
You would like to determine a threshold for classifying individuals as high risk or not high risk.
What considerations would you make in determining the threshold?
We can use a threshold of 0.5 to classify observations.
If
If
# A tibble: 5 × 4
high_risk .fitted pred_prob pred_class
<fct> <dbl> <dbl> <fct>
1 0 -3.06 0.0446 0
2 0 -2.38 0.0845 0
3 0 -1.77 0.145 0
4 1 -0.751 0.321 0
5 0 -1.86 0.135 0
A confusion matrix is a conf_mat() function in the yardstick package (part of tidymodels).
Truth
Prediction 0 1
0 3553 635
1 2 0
The accuracy of this model with a classification threshold of 0.5 is
Truth
Prediction 0 1
0 3553 635
1 2 0
The misclassification rate of this model with a threshold of 0.5 is
Truth
Prediction 0 1
0 3553 635
1 2 0
Accuracy is 0.848 and the misclassification rate is 0.152.
What is the limitation of solely relying on accuracy and misclassification to assess the model performance?
What is the limitation of using a single confusion matrix to assess the model performance?
| Not high risk |
High risk |
|
|---|---|---|
| Classified not high risk |
True negative (TN) | False negative (FN) |
| Classified high risk |
False positive (FP) | True positive (TP) |
| Not high risk |
High risk |
|
|---|---|---|
| Classified not high risk |
True negative (TN) | False negative (FN) |
| Classified high risk |
False positive (FP) | True positive (TP) |
False negative rate: Proportion of actual positives that were classified as negatives
| Not high risk |
High risk |
|
|---|---|---|
| Classified not high risk |
True negative (TN) | False negative (FN) |
| Classified high risk |
False positive (FP) | True positive (TP) |
False positive rate: Proportion of actual negatives that were classified as positives
| Not high risk |
High risk |
|
|---|---|---|
| Classified not high risk |
True negative (TN) | False negative (FN) |
| Classified high risk |
False positive (FP) | True positive (TP) |
Sensitivity: Proportion of actual positives that were correctly classified as positive
Also known as true positive rate (TPR) and recall
P(classified high risk | high risk) = 1 − False negative rate
| Not high risk |
High risk |
|
|---|---|---|
| Classified not high risk |
True negative (TN) | False negative (FN) |
| Classified high risk |
False positive (FP) | True positive (TP) |
Specificity: Proportion of actual negatives that were correctly classified as negative
Truth
Prediction 0 1
0 3553 635
1 2 0
Calculate the
| Metric | Guidance for use |
|---|---|
| Accuracy | For balanced data, use only in combination with other metrics. Avoid using for imbalanced data. |
| Sensitivity (true positive rate) | Use when false negatives are more “expensive” than false positives. |
| False positive rate | Use when false positives are more “expensive” than false negatives. |
| Precision = |
Use when it’s important for positive predictions to be accurate. |
This table is a modification of work created and shared by Google in the Google Machine Learning Crash Course.
A doctor plans to use your model to determine which patients are high risk for heart disease. The doctor will recommend a treatment plan for high risk patients.
Would you want sensitivity to be high or low? What about specificity?
What are the trade-offs associated with each decision?
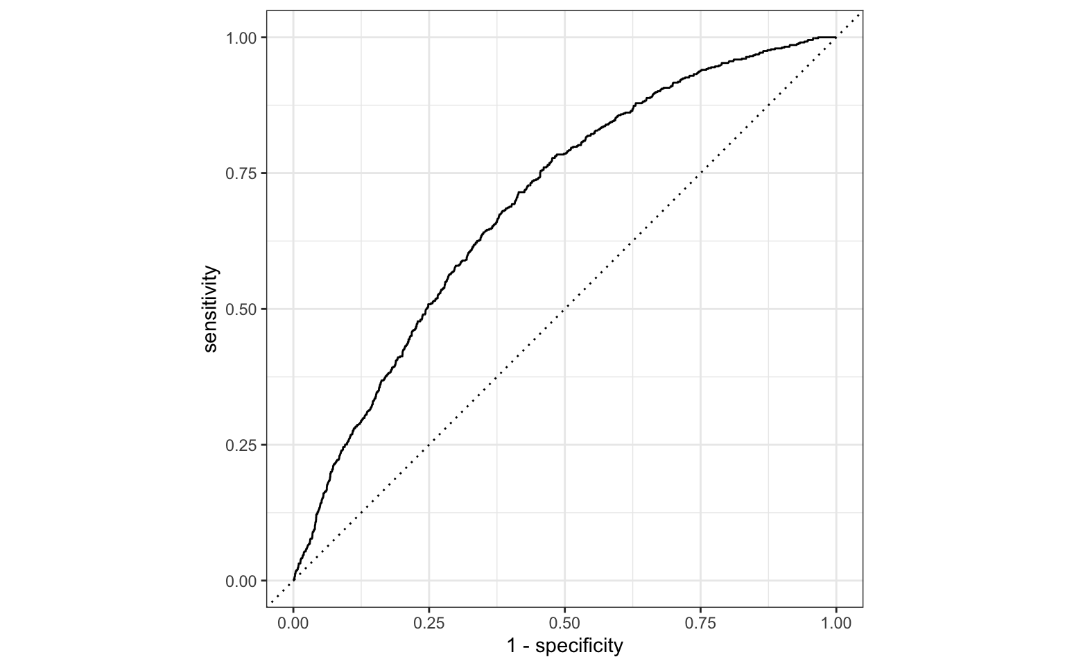
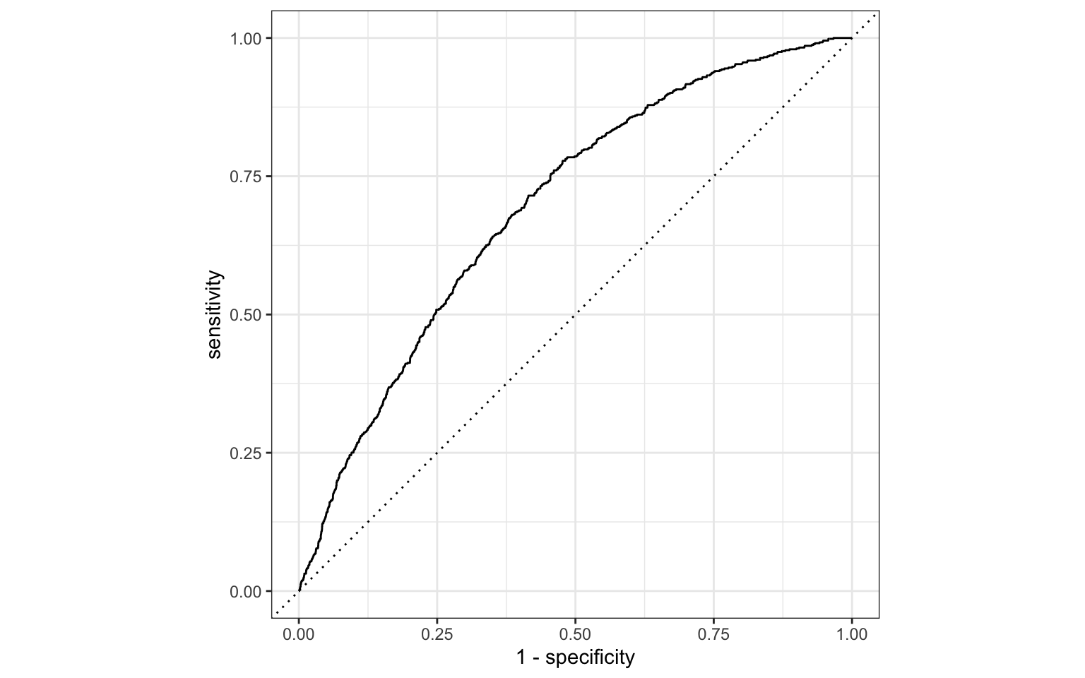
So far the model assessment has depended on the model and selected threshold. The receiver operating characteristic (ROC) curve allows us to assess the model performance across a range of thresholds.

x-axis: 1 - Specificity (False positive rate)
y-axis: Sensitivity (True positive rate)
Which corner of the plot indicates the best model performance?
# A tibble: 5 × 3
.threshold specificity sensitivity
<dbl> <dbl> <dbl>
1 -Inf 0 1
2 -3.63 0 1
3 -3.61 0.000281 1
4 -3.54 0.000844 1
5 -3.52 0.00113 1

The area under the curve (AUC) can be used to assess how well the logistic model fits the data
AUC=0.5: model is a very bad fit (no better than a coin flip)
AUC close to 1: model is a good fit
Calculated predicted probabilities from the logistic regression model
Used predicted probabilities to classify observations
Made decisions and assessed model performance using
Classification module in Google Machine Learning Crash Course
